Em sua fase final de execução o Projeto Noleedi divulga os dados de mais uma pesquisa científica que revela que a Terra Indígena é uma importante área para conservação e preservação de mamíferos. Trata-se da monografia de mestrado sobre ecologia de comunidades “Os efeitos do fogo sobre os mamíferos de médio e grande porte”, realizada na Terra indígena Kadiwéu, que fica em Porto Murtinho, em Mato Grosso do Sul. A autora do estudo é a bióloga da UFMS e mestre pelo Programa de Pós-graduação em Ecologia e Conservação da UFMS/Inbio (Instituto de Biociências), Anny de Morais Costa.
A pesquisa que começou em 2020 e terminou em 2022 teve como objetivo verificar a influência do fogo sobre a mastofauna de médio e grande porte, avaliando o histórico do fogo dos últimos 17 anos em uma faixa transicional do Cerrado e Pantanal com os diferentes períodos de queima: precoce ou modal e tardio. A queima precoce antecede o período da seca; a queima modal acontece no auge da seca e a queima tardia no início das primeiras chuvas.
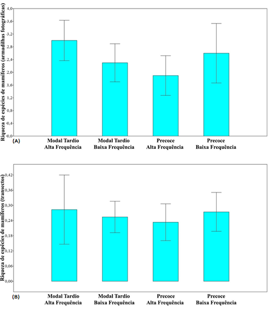
Orientada pelo coordenador do Projeto Noleedi, o professor doutor Danilo Bandini Ribeiro, e contando também com apoio do Ibama e do Prevfogo (Centro Nacional de Prevenção e Combate aos Incêndios Florestais) a pesquisa fez quatro tratamentos para avaliar os efeitos do fogo sobre mamíferos: frequência alta com o período precoce, frequência alta com período modal tardio, frequência baixa com o período precoce e frequência baixa com período modal tardio. Para registrar as amostragens dos mamíferos foram utilizadas 40 armadilhas fotográficas colocadas em junho e julho de 2021.
Como resultados o estudo encontrou 21 espécies de mamíferos de médio e grande porte sendo que para o tratamento de queima de baixa frequência precoce foi encontrado maior número de registros assim como também maior número de riquezas. Já o tratamento de queima de alta frequência precoce e de baixa frequência modal tardio foram os que tiveram uma menor abundância ou menor registro encontrado de mamíferos. Ainda, o tratamento de queima de baixa frequência modal tardio também possui uma menor riqueza observada. As espécies mais encontradas foram o veado-catingueiro, o queixada, o cateto, a anta e o lobinho e as que apareceram apenas uma vez foram o gato mourisco e a irara (Figura 1).
A autora das pesquisas, Anny de Morais Costa, informa que nos dados coletados das armadilhas fotográficas a abundância e a riqueza dos mamíferos foram maiores nas áreas de fogo precoce e de baixa frequência mas as diferenças entre todas as áreas não foram estatisticamente significativas nem para abundância e nem para riqueza das espécies. Para a diferença da composição da comunidade, para as espécies, os dados coletados na armadilha fotográfica também não revelaram variação entre as diferenças do tratamento.
“Concluímos então que os mamíferos de médio e grande porte, na sua maioria, não apresentam variações significativas na ocorrência dos diferentes tratamentos. Eles usam todo o mosaico da área queimada nos diferentes regimes de fogo. A região (Terra Indígena Kadiwéu) também tem uma grande relevância para conservação de mamíferos e aponta para uma boa importância na área para pesquisas de efeitos do fogo sobre a biodiversidade do Cerrado e do Pantanal”, ressalta Anny Costa.
O fato da abundância e a riqueza dos mamíferos nas áreas de fogo precoce, modal e tardio não apresentarem diferenças estatisticamente significativas foi algo inusitado encontrado no trabalho. A autora das pesquisas informa que serão feitos mais trabalhos para se entender melhor este resultado.
O “Projeto Noleedi – Efeito do fogo na biota do Pantanal sul-mato-grossense e sua interação com os diferentes regimes de inundação” é uma iniciativa da Universidade Federal de Mato Grosso do Sul (UFMS) e do Centro Nacional de Prevenção e Combate aos Incêndios Florestais (Prevfogo) do Instituto Brasileiro do Meio Ambiente e dos Recursos Naturais Renováveis (Ibama), aprovada pelo Conselho Nacional de Desenvolvimento Científico e Tecnológico (CNPq), que pesquisou os efeitos do fogo no Cerrado e Pantanal. O projeto iniciou em janeiro de 2019 e foi executado na Terra Indígena Kadiwéu, que possui cerca de 540 mil hectares localizados no norte do município de Porto Murtinho, sudoeste de Mato Grosso do Sul.



Nenhum comentário:
Postar um comentário